Гребінківська Отг, Суспільство
Заборгованість за вивіз сміття: інфо для мешканців Гребінки
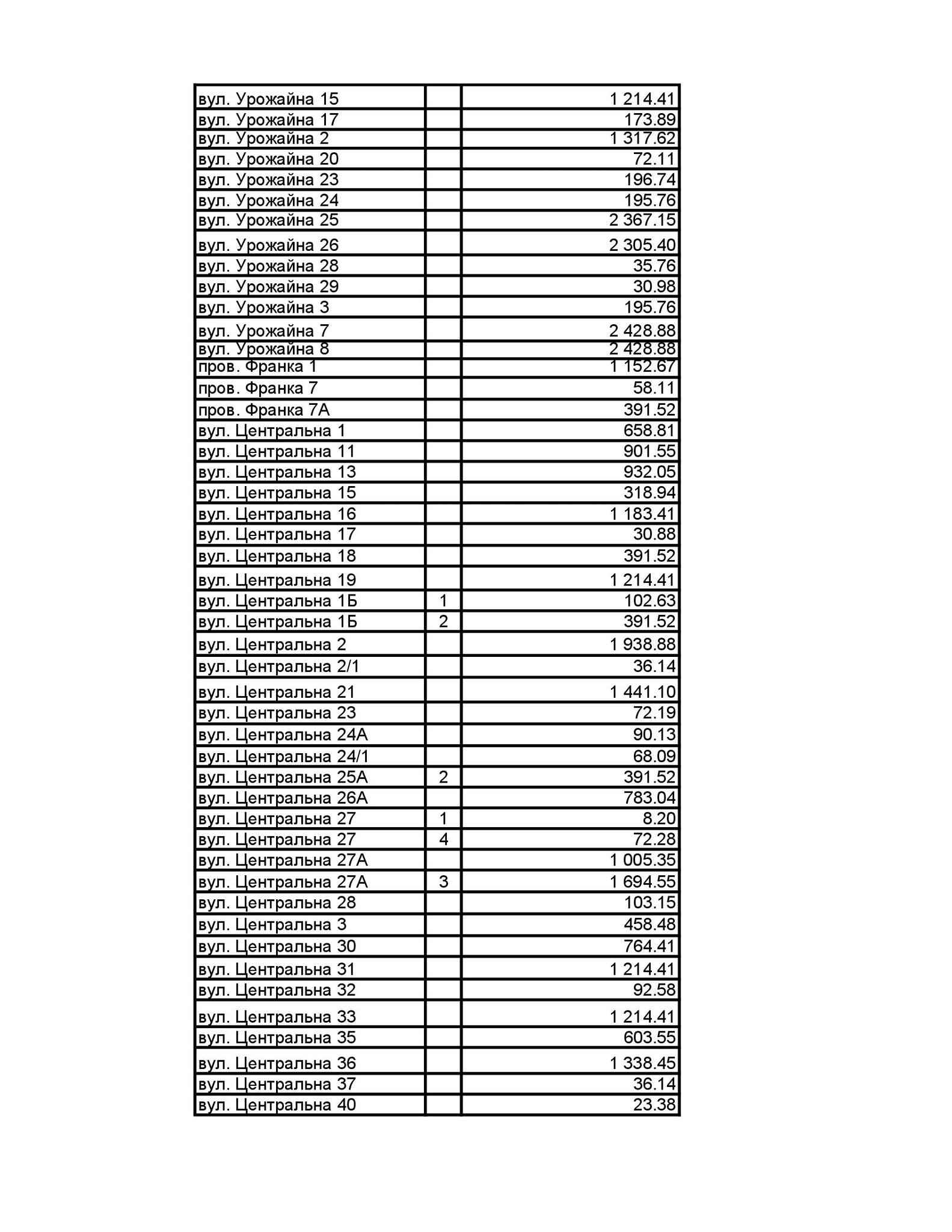
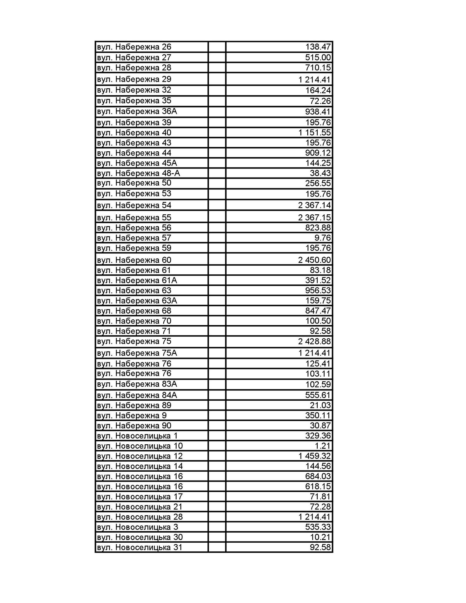
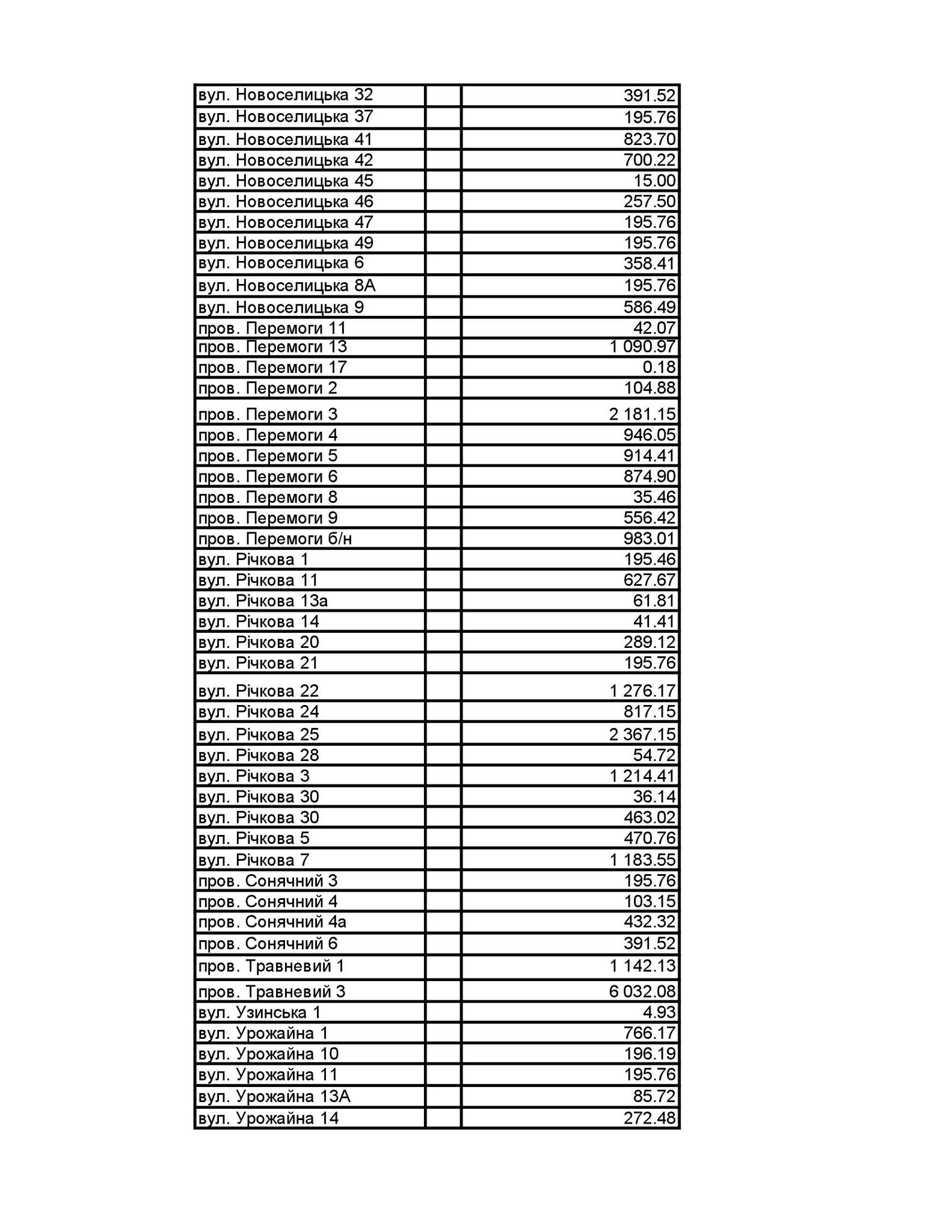
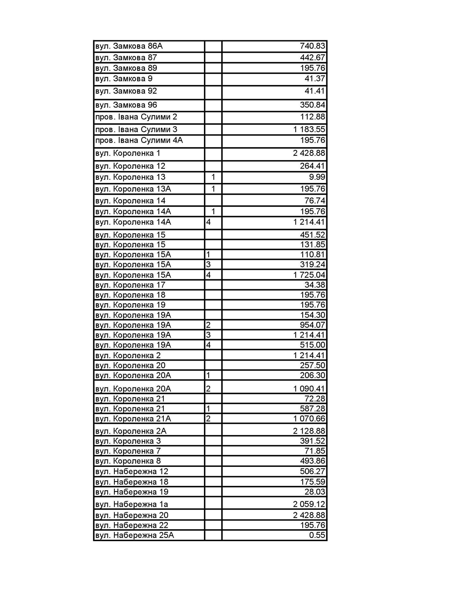
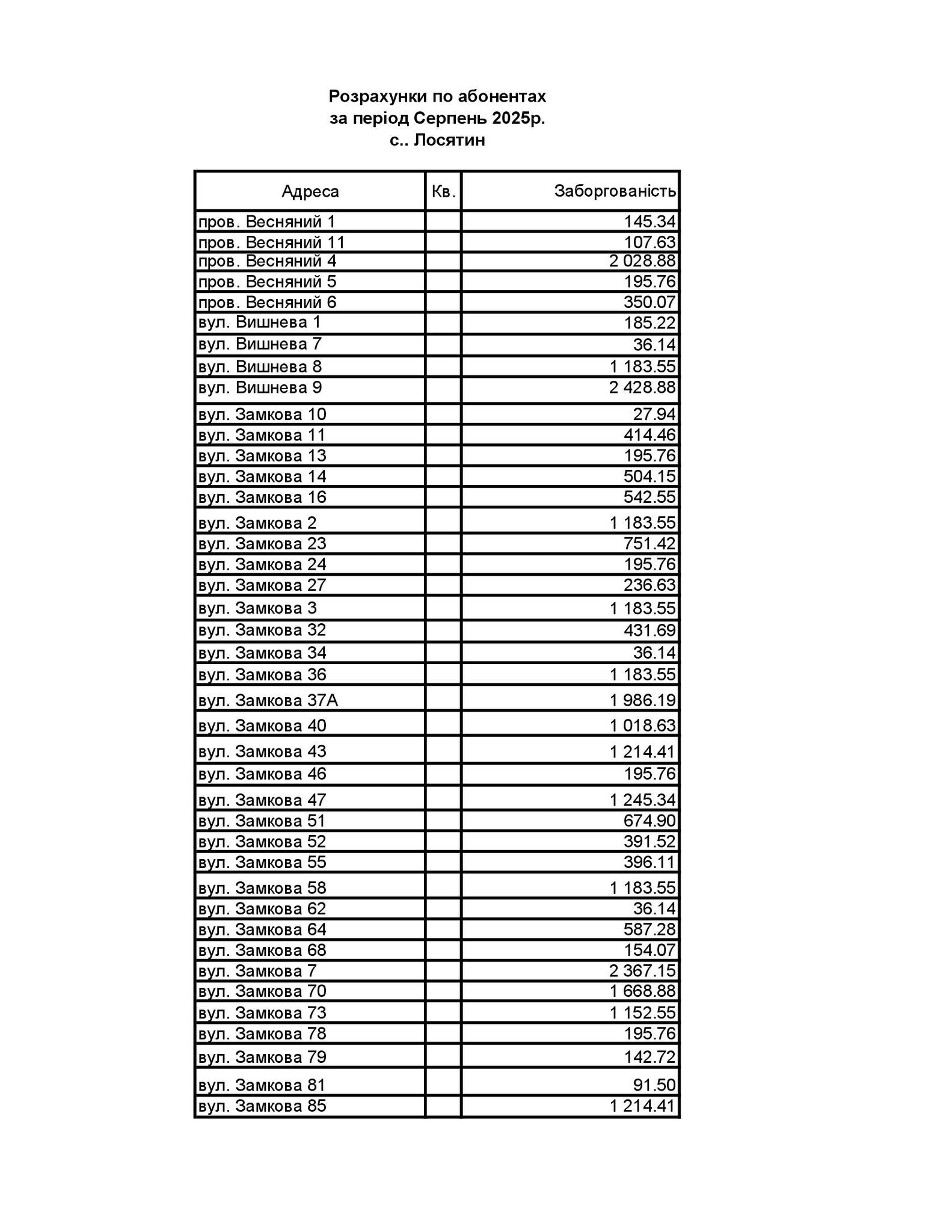
📢 Увага мешканцям Лосятинсько-Соколівського старостинського округу!
Нагадуємо про необхідність перевірки стану заборгованості за послугу поводження з побутовими відходами станом на 01.09.2025 року. Важливо зазначити, що вказана заборгованість не враховує платежі, здійснені після зазначеної дати.
Для отримання детальної інформації щодо вашої заборгованості за вивіз сміття, будь ласка, звертайтеся за наступною адресою: селище Гребінки, проспект Науки, 82. Також ви можете отримати консультацію за телефоном: 067-531-67-18.
Своєчасна оплата комунальних послуг є важливим внеском у підтримання чистоти та належного стану нашої громади. Неухильне виконання платіжних зобов’язань допомагає забезпечувати стабільну роботу системи поводження з побутовими відходами та покращувати якість надання послуг для всіх мешканців.
Ми розуміємо, що можуть виникати питання щодо нарахувань та оплати. Тому наші фахівці готові надати вичерпні відповіді та допомогти вирішити будь-які непорозуміння. Не відкладайте це питання на потім, адже актуальна інформація про стан ваших платежів є запорукою уникнення можливих непорозумінь у майбутньому.
Перевірка та погашення заборгованості за послугу поводження з побутовими відходами є відповідальністю кожного мешканця. Ми цінуємо вашу свідомість та співпрацю у цьому важливому питанні.


