9-20 Гаряча лінія Олександра Поворознюка 068 802 3551 
Додати свою новину Відкрити/Закрити ФільтриСкинути

Гребінківська Отг

УВАГА!!! До уваги мешканцям, що мають заборгованість за послугу поводження з п…

📢УВАГА!!!
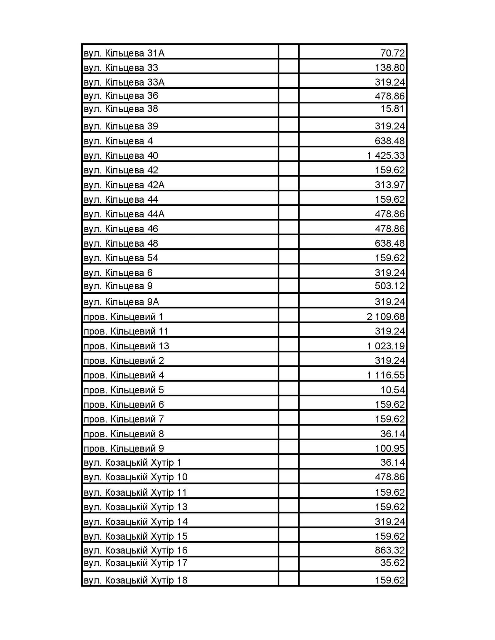
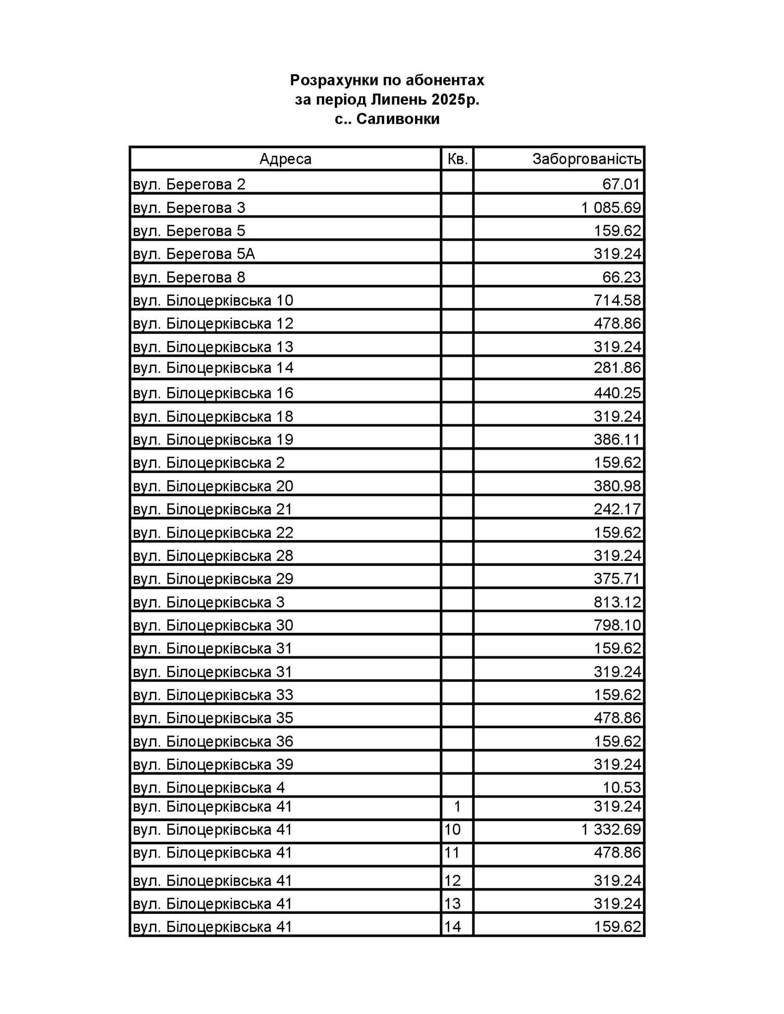
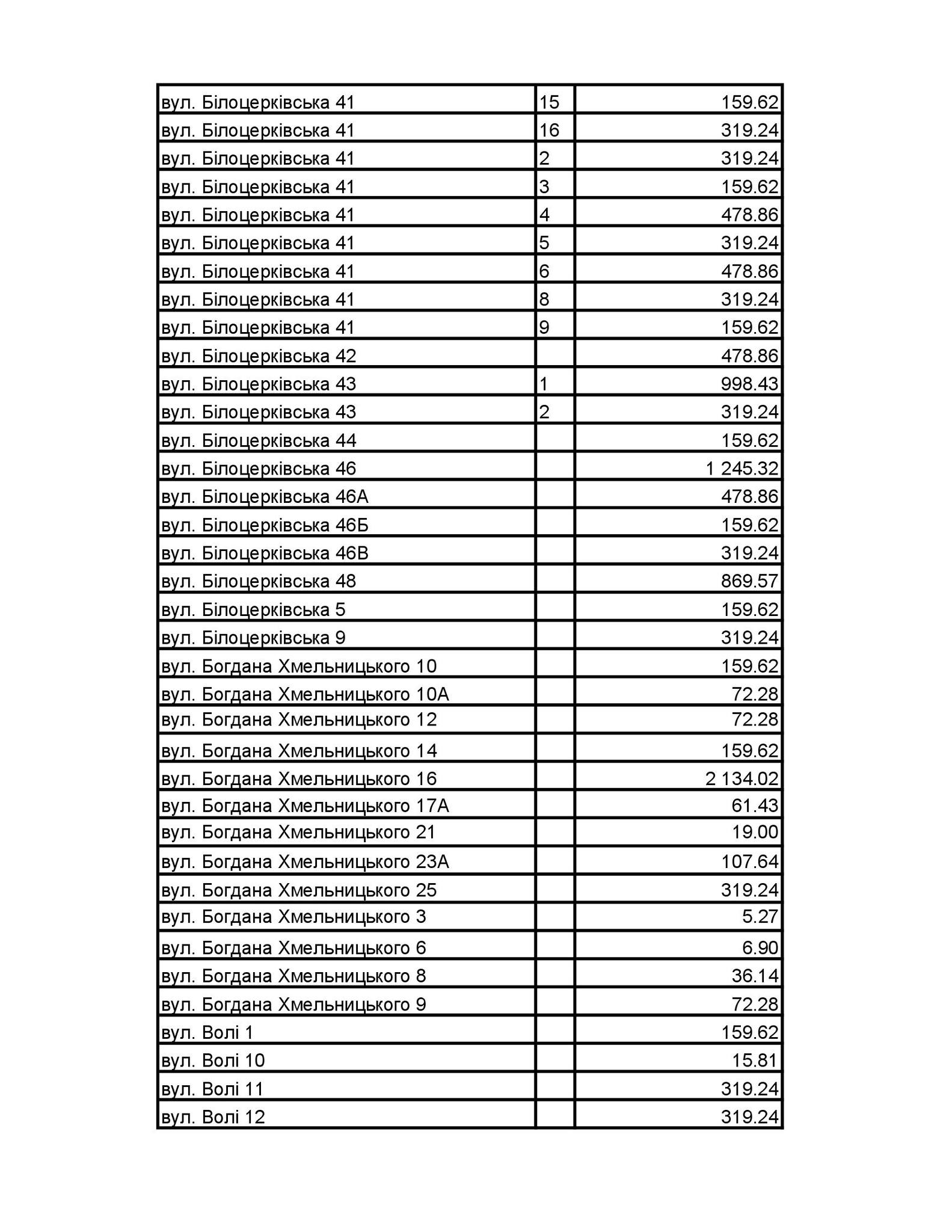
До уваги мешканцям, що мають заборгованість за послугу поводження з побутовими відходами по Саливонківсько-Новоселицькому старостинському округу станом на 01.08.2025року. ‼️(Заборгованість вказана без врахування оплат, що були здійснені після 01.08.2025року.)‼️
За більш детальною інформацією звертатися за адресою с-ще Гребінки, проспект Науки,82, або за тел.067-531-67-18.





Увійти, щоб коментувати

Зареєструватися, щоб коментувати

Пароль буде надіслано вам на email.

x
Помічник