Життя, Козелецька ОТГ, Суспільство
Відключення газу в Козельці та Лемешах: важлива інформація
Шановні мешканці Козельця та Лемешів!
Ніжинське управління експлуатації газового господарства, а саме його Козелецька дільниця, інформує про проведення планових робіт з технічного обслуговування внутрішньобудинкових систем, які забезпечують подачу газу. Ці заходи є критично важливими для забезпечення безпеки та надійності функціонування газових мереж. Заплановані на липень 2025 року, ці роботи охоплять як селище Козелець, так і село Лемеші. Основною метою такого ретельного обслуговування є підтримка оптимального стану всієї системи, що дозволяє запобігти потенційним аварійним ситуаціям та гарантує стабільне газопостачання до ваших домівок у майбутньому. Тимчасове припинення подачі газу є необхідним заходом для безпечного та ефективного виконання цих важливих робіт.
Важливість планового обслуговування газових систем
Регулярне технічне обслуговування газових систем – це запорука вашої безпеки та довговічності обладнання. З часом будь-яке обладнання може зношуватися, а навіть незначні несправності, якщо їх ігнорувати, можуть перерости у серйозні проблеми. Професійна перевірка, діагностика та налаштування, які проводять фахівці, дозволяють своєчасно виявити та усунути потенційні витоки, забезпечити правильну роботу газових приладів та, найголовніше, запобігти виникненню надзвичайних ситуацій. Саме тому тимчасове відключення газу, хоч і може створити певні незручності, є життєво необхідним кроком для забезпечення вашого добробуту. Наше підприємство прагне мінімізувати період відсутності газу, щоб якомога швидше відновити звичний комфорт у ваших оселях після завершення всіх робіт.
Деталі для мешканців
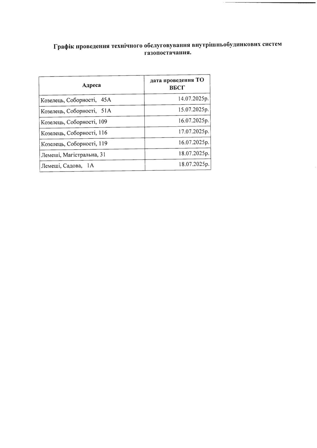
Просимо звернути увагу, що перелік конкретних адрес, де будуть проводитися роботи, буде оприлюднено окремо. Слідкуйте за офіційними повідомленнями, щоб бути в курсі актуальної інформації. Наголошуємо, що на період виконання робіт газопостачання до зазначених будинків буде тимчасово припинено. Це стандартна процедура, спрямована на забезпечення максимальної безпеки як для спеціалістів, що виконують обслуговування, так і для самих мешканців. Ми розуміємо, що це може викликати певні незручності, але просимо поставитися до цього з розумінням.
Ключовий аспект: Обов’язковий доступ до помешкань
Один із найважливіших аспектів, на який варто звернути особливу увагу, – це вимога щодо обов’язкової присутності власника або уповноваженого мешканця в кожній квартирі під час проведення цих робіт. Без повного доступу до помешкання провести всебічне технічне обслуговування внутрішньобудинкової газової системи є неможливим. Це має серйозні наслідки: якщо працівники не отримають доступ до вашої квартири, повторний пуск газу у всьому будинку або на відповідній ділянці буде відтерміновано до моменту, коли роботи будуть виконані у кожній окремій квартирі. Забезпечення своєчасного доступу значно прискорить відновлення подачі газу для всіх споживачів.
Заклик до співпраці
Ми щиро просимо мешканців Козельця та Лемешів з розумінням поставитися до цієї планової ситуації. Ці тимчасові заходи є необхідними для забезпечення довгострокової безпеки та стабільності функціонування системи газопостачання у ваших населених пунктах. Ваша співпраця, зокрема, своєчасне надання доступу до помешкань для працівників, дозволить максимально оперативно завершити всі необхідні роботи та відновити подачу газу. Ваша відповідальність є запорукою швидкого повернення до звичного ритму життя. Дякуємо за розуміння та сприяння! Це важлива інформація щодо відключення газу, яка стосується кожного.

